触媒機構解析 博打的な試行錯誤の繰り返しから脱皮し、高精度の量子化学による自動触媒解析が可能に
Ru-BINAP触媒による不斉選択メカニズムの解明 不斉触媒の理論設計が可能に!
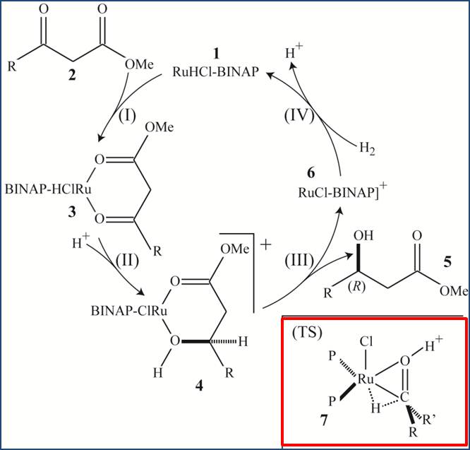
GRRMプログラムには、反応素過程を調べる優れた機能が搭載されていますので、未解明の 触媒作用のメカニズムの解明に役立ちます。たとえば、不斉触媒で有名なRu-BINAP触媒の触 媒サイクル(上図左)を解明することにも役立っています。不斉触媒では、光学活性体(R体またはS体)のどちらか一方のみを選択的に合成できるこ とが特色であり、その選択性がどのようにしてもたらされるかを知ることは、単に触媒の働 きの理解を進めるだけでなく、新しい触媒より効果的な触媒を新たにつくりだすときの指針 を与えますので、非常に重要な研究課題となっています。
このような触媒が関係する反応過程のTSは、微妙な立体配座の違いによって、非常に多数 存在します。そのうち実際に重要な働きをするのは、よりエネルギー(実験条件の温度での 自由エネルギー)の低いTSであることはもちろんですが、似たいような構造をもつTSが非常 に多数存在する場合は、それを求めるのは非常に難しい問題で、これまでの方法では、なか なかうまく探索することができませんでした。GRRMプログラムを用いると、l-ADDf法などに 加えて、Gaussianプログラムにも搭載されているONIOM法を併用することで、系統的にTSを調 べあげることができます。
上図の右に、Ru-BINAP触媒を用いた反応過程のTSのうち自由エネルギー(室温)の低いも のを系統的に探索し、そうしてみつかったTSのうちのエネルギーの低い方から5番目までを 示してあります。右下には、室温での自由エネルギーが100 kJ/molの範囲内のTSをR体とS体 にわけて、エネルギー分布を示してあります。この結果から、室温で一番自由エネルギーの 低いTSはR体であり、その次に低いS体のTSとは約20 kJ/molもの大きなエネルギー差があるこ とが判明しました。このことから、このRu-BINAP触媒が、R体の反応生成物を選択的に導く 不斉触媒として、非常に高い不斉選択性を示すことが、解明されました。





